CT243 lab6


http://geminga.it.nuigalway.ie/~gettrick/courses/CT243/labs/l6.html



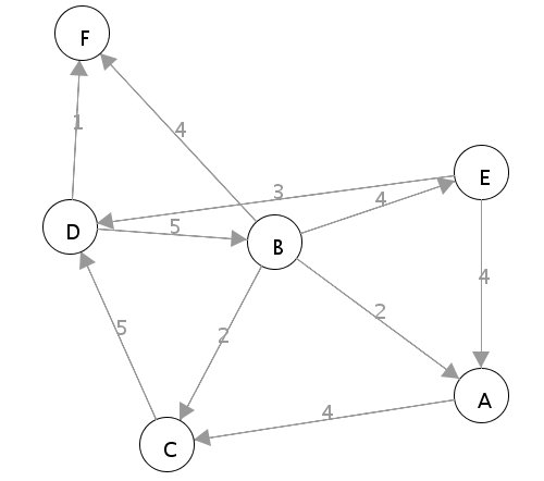
Consider the (road) network pictured below
with 6 cities labelled A, B, C, D, E, F. You can ignore the direction of the arrows and assume all roads are "two way". Starting with a matrix (2-dimensional array) A of size 6x6, use the Dynamic Programming method, using iteration and Floyds Algorithm, to find the shortest route between any two cities. As well as finding the length of the shortest route, your function should return also the actual route (sequence of cities) in an appropriate data structure.


© NUI, Galway